Math 板


LINE

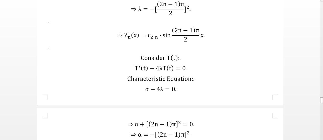
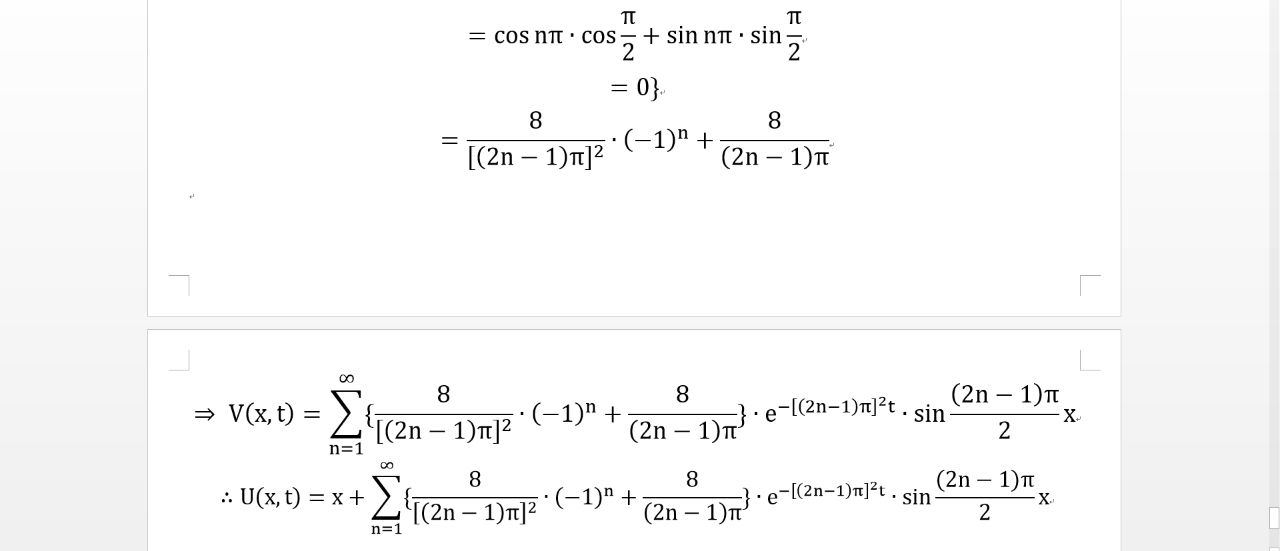
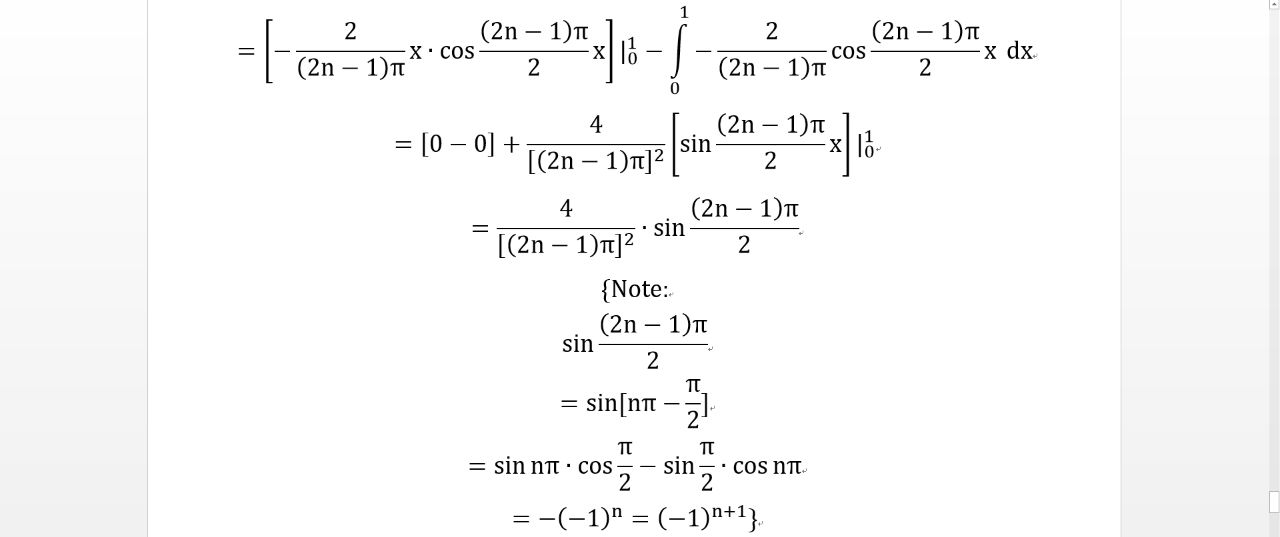
※ 引述《semmy214 (黃小六)》之銘言: : https://imgur.com/a/5gdBShZ : 想請教下這題 令T(x,t)=U(x)+V(x,t) 將穩態跟動態分開 先考慮穩態的部分, 原式變成0=4 partial^2 T/partial x^2 因為穩態時間不變,且V(x,t)在穩態時=0 -> T(x,t)=U(x) -> 0=4 partial^2 U/partial x^2 -> d^2 U/dx^2=0 -> U(x)=ax+b -> U'(x)=a 代入兩個邊界條件 U(0)=b=0 U'(1)=a=1 -> U(x)=x -> T(x,t)=x+V(x,t) 考慮新的邊界條件 T(0,t)= 0+V(0,t)=0 -> V(0,t)=0 partial T(1,t)/partial x = 1+partial V(1,t)/partial x=1 ->partial V(1,t)/partial x=0 將兩個邊界條件都化為0 回到原本問題 partial T(x,t)/partial t = partial V(x,t)/partial t partial^2 T(x,t)/partial x^2 = partial^2 V(x,t)/partial x^2 所以 partial V(x,t)/partial t = 4 partial^2 V(x,t)/partial x^2 -> Z(x)R'(t)=4Z''(x)R(t) -> R'(t)/4R(t)=Z''(x)/Z(x)=λ 先算Z(x) Z''(x)-λZ(x)=0 特徵方程式 α^2-λ=0 令λ=-(β^2) 找共軛虛根 α=+-βi -> Z(x)= C1 cos βx+C2 sin βx 代入邊界條件 Z(0)=C1=0 ->Z(x)=C2 sin βx ->Z'(x)=βC2 cos βx 代入邊界條件 Z'(1)=βC2 cos β=0 因為βC2不能等於0 所以cos β=0 -> β= (2n-1)π/2 (n = 1、2、3、4...) -> Zn(x)=C2n sin (2n-1)π/2 x [其實題目只要算到這就好Eigenfunction] ->λ=-[(2n-1)π/2]^2 [Eigenvalue] 再來算R(t): R'(t)-4λR(t)=0 特徵方程式 α-4λ=0 ->α+[(2n-1)π]^2=0 ->α= -[(2n-1)π]^2 Rn(t)= d1n e^-[(2n-1)π]^2 t Vn(x,t)=Zn(x)Rn(t)= An * e^-[(2n-1)π]^2 t * sin (2n-1)π/2 x (An= d1n*C2n) 因為原方程式是線性方程式,利用重疊定理 V(x,t)=sigma [n=1->∞]Vn(x,t) =sigma [n=1->∞] An * e^-[(2n-1)π]^2 t * sin (2n-1)π/2 x 考慮新的初始條件: T(x,0)=2=x+V(x,0) ->V(x,0)= 2-x = sigma [n=1->∞] An * sin (2n-1)π/2 x [這邊視為用傅立葉sin級數展開,所以(2-x)會被視為奇函數] 積分 [-1->1] (2-x)* sin (2n-1)π/2 x dx = An ->An = 2* 積分 [0->1] (2-x)* sin (2n-1)π/2 x dx = 8/[(2n-1)π]^2 * (-1)^n + 8/[(2n-1)π] 所以V(x,t)=sigma [n=1->∞] An * e^-[(2n-1)π]^2 t * sin (2n-1)π/2 x T(x,t)= x+V(x,t) --



※ 發信站: 批踢踢實業坊(ptt.cc), 來自: 203.204.210.81 (臺灣)
※ 文章網址: https://webptt.com/m.aspx?n=bbs/Math/M.1741528171.A.703.html ※ 編輯: wallowes (203.204.210.81 臺灣), 04/20/2025 00:11:05







like.gif 您可能會有興趣的文章
icon.png[問題/行為] 貓晚上進房間會不會有憋尿問題
icon.pngRe: [閒聊] 選了錯誤的女孩成為魔法少女 XDDDDDDDDDD
icon.png[正妹] 瑞典 一張
icon.png[心得] EMS高領長版毛衣.墨小樓MC1002
icon.png[分享] 丹龍隔熱紙GE55+33+22
icon.png[問題] 清洗洗衣機
icon.png[尋物] 窗台下的空間
icon.png[閒聊] 双極の女神1 木魔爵
icon.png[售車] 新竹 1997 march 1297cc 白色 四門
icon.png[討論] 能從照片感受到攝影者心情嗎
icon.png[狂賀] 賀賀賀賀 賀!島村卯月!總選舉NO.1
icon.png[難過] 羨慕白皮膚的女生
icon.png閱讀文章
icon.png[黑特]
icon.png[問題] SBK S1安裝於安全帽位置
icon.png[分享] 舊woo100絕版開箱!!
icon.pngRe: [無言] 關於小包衛生紙
icon.png[開箱] E5-2683V3 RX480Strix 快睿C1 簡單測試
icon.png[心得] 蒼の海賊龍 地獄 執行者16PT
icon.png[售車] 1999年Virage iO 1.8EXi
icon.png[心得] 挑戰33 LV10 獅子座pt solo
icon.png[閒聊] 手把手教你不被桶之新手主購教學
icon.png[分享] Civic Type R 量產版官方照無預警流出
icon.png[售車] Golf 4 2.0 銀色 自排
icon.png[出售] Graco提籃汽座(有底座)2000元誠可議
icon.png[問題] 請問補牙材質掉了還能再補嗎?(台中半年內
icon.png[問題] 44th 單曲 生寫竟然都給重複的啊啊!
icon.png[心得] 華南紅卡/icash 核卡
icon.png[問題] 拔牙矯正這樣正常嗎
icon.png[贈送] 老莫高業 初業 102年版
icon.png[情報] 三大行動支付 本季掀戰火
icon.png[寶寶] 博客來Amos水蠟筆5/1特價五折
icon.pngRe: [心得] 新鮮人一些面試分享
icon.png[心得] 蒼の海賊龍 地獄 麒麟25PT
icon.pngRe: [閒聊] (君の名は。雷慎入) 君名二創漫畫翻譯
icon.pngRe: [閒聊] OGN中場影片:失蹤人口局 (英文字幕)
icon.png[問題] 台灣大哥大4G訊號差
icon.png[出售] [全國]全新千尋侘草LED燈, 水草

請輸入看板名稱,例如:BuyTogether站內搜尋

TOP